

Плиты перекрытия предназначены для разделения здания на уровни (этажи). Если плиты расположены между этажами, то это перекрытие, если над последним этажом, то покрытие. Разница заключается только в несущей способности. К данным строительным конструкциям предъявляются повышенные требования к прочности и надежности, так как они являются основными несущими элементами и воспринимают нагрузку от всего этажа, включая полы, перегородки, оборудование, мебель и временные нагрузки.
Плиты перекрытия могут быть:
- в зависимости от материала: железобетонные, бетонные, деревянные, металлические, комбинированные;
- от способа выполнения сборные или монолитные;
Тот или иной тип плит перекрытия применяется в зависимости от конструктивной особенности здания, максимальной нагрузки на перекрытие и способа монтажа. Дальше мы разберем, как сделать перекрытие своими руками.
Пример расчета монолитной плиты перекрытия
Прежде, чем приступить к изготовлению плиты, желательно сделать ее расчет. Дальше будет выполнен пример расчета плиты междуэтажного перекрытия на прогиб.
Исходные данные для расчета
Размер здания с монолитным перекрытием возьмем размером 6х6 м разделенными по центру внутренними стенами (пролет 3м). Толщину перекрытия примем 160 мм, при этом рабочая высота сечения перекрытия будет 13 см. Для изготовления плиты будет использоваться бетон класса В20 (Rb=117кг/см2, Rbtn=14.3кг/см2, Eb=3.1*10^5 кг/см2) и стальная арматура А-500С (Rs=4500кг/см2, Ea=2.0*10^6 кг/см2).
Сбор нагрузок на перекрытие
Нагрузка на перекрытие будет состоять из веса: плиты перекрытия (в нашем случаи 160 мм), цементной стяжки толщиной 30 мм, керамической плитки, нормативного веса перегородок и полезной нагрузки. Все данные сведены в таблице ниже с учетом коэффициентов.


Расчет плиты по деформациям на прогиб
Схема работы перекрытия:


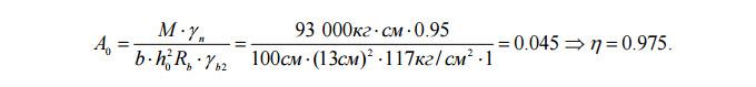
Теперь нам нужно подобрать сечение арматуры, для этого определим максимальный момент:


и коэффициент Aо при ширине участка плиты b=1(м):


Требуемая площадь сечения арматуры будет равна:


Поэтому для армирования 1 погонного метра плиты перекрытия можно применить 5 стержней диаметром 8 мм с шагом 200 мм. Площадь сечения арматуры при этом будет As=2,51см2.
Мы подошли в плотную к расчету плиты по деформациям на прогиб. С исходных данных нам известно, что постоянная нагрузка на перекрытие равна 0.63тн/м² и
временная нагрузка на перекрытие равна 0.2тн/м².
Вычисляем максимальный момент от действия длительной нагрузки:


И максимальный момент от действия кратковременной нагрузки:


Находим коэффициент, учитывающий вид нагрузки и схему нагружения S=5/48 – для балок с постоянной равномерно распределенной нагрузкой (табл. 31, «Руководство
по проектированию бетонных и железобетонных конструкций из тяжелого бетона»). y?=y=0 (табл. 29 «Руководство по проектированию бетонных и железобетонных конструкций из тяжелого бетона»).
Коэффициент для определения: k1кр ; k1дл ; k2дл.


Считаем кривизну оси при одновременном действии кратковременных, длительных и постоянных нагрузок:


Теперь осталось нам определить максимальный прогиб в середине пролета:




Условие выполняется, значит принятое нами армирование Ø8 A-500С с шагом 200 мм верно!
Монолитные плиты перекрытия для гаража
Даже такие строительные конструкции, как плиты перекрытия можно изготовить своими руками. Давайте рассмотрим устройство перекрытия для гаража. Перекрывать мы будем пролет длинной 4300 мм, поэтому плиты будут изготавливаться 4500 мм. С каждой стороны плита будет опираться на кирпичную стену по 100 мм.
Материалы для изготовления плиты
Как сделать плиты перекрытия своими руками? Для изготовления плиты нам понадобится:
- профнастил Н75/750 х 4500 мм, он будет использоваться в качестве съемной опалубки;
- деревянные доски высотой 150 мм и толщиной 25 – 30 мм;
- арматура диаметром 16 мм;
- сетка с ячейкой 100х100 диаметром 5 мм;
- стяжка диаметром 8 мм, 2 штуки на одну плиту;
- бетон класса В20.
Процесс изготовления плиты своими руками
Лист профнастила укладывается жесткое основание. Под лист нужно уложить поперечины (деревянные доски, 4 шт). Устраиваем опалубку из досок по периметру листа.


Укладываем арматуру в каждый лоток листа (5 шт). Защитный слой бетона должен быть 25-30 мм. К этим же прутам арматуры крепим петли (4 шт) для транспортировки плиты (в нашем случае поднятия ее на высоту уровня перекрытия гаража). В верхней части плиты укладываем сетку, которая тоже должна быть защищена слоем бетона 30 мм.
Для того, чтобы лист профнастила хорошо отставал от бетона его нужно смазать маслом (отработкой) или же покрыть полиэтиленовой пленкой. Расход бетона на одну плиту будет 0.4 м3. Бетон готовится в гравитационной бетономешалке, заливается и утрамбовывается вибратором. Извлекать плиту можно только через 7 дней, когда бетон наберет 70% прочности.


Также возможен вариант устройства перекрытия прямо на стенах. Укладываются листы профнастила, выполняется армирование и устраивается опалубка. Бетон поднимается краном в бадье и заливается сплошным слоем. Под перекрытие нужно установить подпорки на время набора прочности бетона. Такой способ будет более затратным, так листы профнастила остаются в перекрытии.
Сколько стоит изготовить плиту перекрытия?
Сейчас посчитаем затраты на изготовления плит общей площадью 29 м2 и высотой 150 мм. Затраты на бетон ? 335 $, цена профнастила Н75 – 400 $, арматура – 235 $, услуги крана 135 $. В итоге получаем сумму 970 $. Такая стоимость будет если изготавливать плиту прямо на гараже, то есть профнасти остается под бетонным перекрытием.
Если же плиты перекрытия своими руками делать на земле, то стоимость перекрытия будет несколько дешевле, убираем стоимость листов профнастила. Итого получится 705 $.
Сборно-монолитные перекрытия (СМП) своими руками


СМП серии ТЖБС разработаны в качестве альтернативы деревянным перекрытиям и монолитным железобетонным пустотным плитам. СМП ТЖБС представляет собой сборную конструкцию, объединяемую на стадии монтажа в цельное перекрытие с помощью армированной стяжки.
Отличительная особенность СМП ТЖБС состоит в том, что все бетонные элементы производятся из жестких растворов. Чтобы производство СМП было экономически целесообразным, все компоненты перекрытия должны производиться промышленным способом на современном высокопроизводительном оборудовании.
Состав СМП ТЖБС


Сборно-монолитные перекрытия включают:
- балки двутаврового сечения, изготовленные из напряженного бетона;
- блоки многопустотные из керамзитобетона или бетона, уложенные между балками;
- армированный бетонный слой, соединяющий перекрытие в цельную конструкцию.
Преимущества СМП ТЖБС
- Высокая несущая способность, до 1000 кг/м2.
- Отказ от выполнения монолитного пояса.
- Высокая тепло- и звукоизоляция.
- Возможность укладки в пустотах инженерных коммуникаций.
- Низкий расход материалов на один квадратный метр перекрытия.
- Возможность монтажа перекрытия своими руками.
Технология монтажа СМП


1. Доставка элементов СМП на стройплощадку. Производится грузовым автотранспортом г/п не менее 3,5 т с краном-манипулятором. Один рейс обеспечивает доставку материалов для 30 м² перекрытия. Разгрузка производится вручную или краном-манипулятором.




2. Устройство плиты перекрытия своими руками начинается с укладки двутавровых балок на несущие стены с шагом 70 см и опиранием не менее 10 см.


3. Укладка многопустотных блоков между балками.
4. Фиксация крайних балок кладкой.


5. Укладка армирующей сетки на всю площадь перекрытия.


6. Заливка монолитной бетонной стяжки, объединяющей балки и пустотные блоки в единую конструкцию. Бетон затекает в пространство между пустотными плитами и балками, создавая прочную жесткую конструкцию.
Варианты устройства полов по сборно-монолитному перекрытию
На СМП ТЖБС можно укладывать полы любых видов. В качестве примера рассматриваются линолеумный и паркетный пол. Очередность слоев указана в направлении снизу вверх.
Линолеумный пол
- Песчаный слой толщиной 30 мм.
- Мягкая древесноволокнистая плита толщиной 12 мм.
- Гидроизоляции из рубероида.
- Цементно-песчаная стяжка из раствора марки М 150 толщиной 40 мм.
- Выравнивающий слой полимерцемента толщиной 8 мм.
- ПВХ-линолеум на теплозвукоизолирующей подложке, уложенный на бустилат.


Паркетный пол
- Слой песка толщиной 30 мм.
- Деревянные лаги сечением 80×40 мм, уложенные с шагом 400 мм.
- Доска паркетная 20 мм.
Высота перекрытия с чистовым полом составляет 340 мм (240 мм перекрытие + 100 мм пола).
Монолитная плита перекрытия своими руками для дома


Плиты, использующиеся в домах, как правило, изготавливаются из железобетона. Это типовые готовые заводские конструкции, которые нужно только правильно положить в процессе строительства. Они обладают неплохими эксплуатационными свойствами, но есть вариант с лучшими характеристиками. Это монолитная плита перекрытия, и ее вполне можно изготовить самостоятельно, не заказывая у строительных компаний. Такая плита не только на порядок превосходит обычные железобетонные, но и не требует особых навыков или специализированного сложного оборудования для ее изготовления.
По сравнению с типовыми железобетонными плитами, выпускаемыми на заводах, монолитное перекрытие обладает несколькими преимуществами:
- Конструкция не будет иметь швов, что добавляет ей прочности, поскольку нагрузка на фундамент распределяется равномерно, по всей поверхности. Таким образом, повышается общая долговечность и безопасность здания.
- Монолитная заливка дает возможность экспериментировать с планировкой в доме, так как опирается она непосредственно на колонны. Можно создавать различные углы и закоулки, под которые достаточно сложно было бы подобрать отдельные плиты перекрытия. Это открывает широкий простор для дизайнерских идей.
- Наконец, монолитная конструкция позволяет оборудовать безопасный балкон без какой-либо дополнительной опоры. Создание балкона ? пункт не обязательный, но многим хочется иметь его в загородном доме, так почему бы не сделать это.
Можно создать монолитную плиту перекрытия своими руками, не нанимая бригаду рабочих и не используя сложное оборудование. Достаточно делать все поэтапно, аккуратно и с соблюдением техники безопасности. Кроме того, нужно выбрать качественные материалы для своего сооружения.
Технология устройства монолитной плиты перекрытия


Для того чтобы сделать монолитную плиту, понадобится чертеж. Любое строительство начинается со схемы и вычислений. Лучше сделать заказ в строительном бюро, доверив расчеты профессионалам. Результат подскажет, какими должны быть правильные размеры подходящей для строительства плиты, какую усиливающую арматуру для нее выбрать и какой бетон из существующих марок лучше использовать. Можно попробовать выполнить все необходимые расчеты самостоятельно, в интернете существуют схемы, по которым выполняется эта операция. Обычный загородный дом, как правило, имеет пролет не более 7 метров, для чего подходит плита со стандартными размерами и толщиной от 180 до 200 мм, это наиболее часто использующийся размер.
Для изготовления новой монолитной плиты понадобятся следующие материалы:
- Стальная арматура, имеющая диаметр 10, либо, как вариант, 12 мм и гибочное приспособление для нее.
- Бетон с маркировкой М 350. Также можно сделать бетонный раствор самостоятельно, смешав песок, цемент и щебенку.
- Опалубка и опоры для ее поддержки, понадобится одна опора на квадратный метр.
- Пластиковые подставки под усиливающую арматуру для фиксации.
Процесс заливания обязательно включает в себя несколько пунктов, которые выполняются последовательно:
- Если имеющийся пролет здания значительно больше стандартных 7 метров или выполняемый проект однозначно подразумевает опору на колонны, придется совершить расчет плиты перекрытия.
- Первый шаг ? поставить опалубку для начала работ.
- Плита армируется стальными прутьями, из которых собирается каркас.
- Заливается бетон.
- С помощью глубинного вибратора производится уплотнение для усиления прочности.
После того, как высота стен достигла необходимого уровня, можно приступать к созданию плиты перекрытия.
Установка опалубки


Обычную опалубку, используемую в строительстве, иногда называют палубой, и именно она понадобиться, чтобы создать плиту. Можно просто арендовать готовую, съемную, которая сделана из металла или пластика. Также можно без труда сделать ее самостоятельно из досок или фанерных листов. Конечно, аренда гораздо проще, поскольку опалубка съемная и разборная, а значит, ее легко можно будет убрать. Кроме того, она имеет телескопическое устройство, что позволяет регулировать высоту.
Для создания опалубки вручную нужно взять листы фанеры или доски. Конструкции из досок нужно хорошо сбивать, тщательно подгоняя деревянные части. Если остались щели и отверстия, нужно использовать гидроизоляционную пленку, обернув ею опалубку.
Как установить опалубку?


- Сначала нужно соорудить вертикальные опоры. Если это арендованная опалубка, то их роль выполняют металлические стойки с телескопической системой регулировки высоты. Можно взять деревянные бревна. Расстояние между используемыми стойками составляет один метр. Стойки должны быть удалены от стены, как минимум, на расстояние 20 см.
- Поверх установленных стоек кладутся ригели ? это специальные продольные брусья, необходимые для удерживания опалубки.
- На ригелях будет располагаться палуба из фанеры, устойчивой к влаге. Горизонтальная балка должна плотно упираться в находящуюся рядом стену, не оставляя при этом отверстий.
- Верхний край используемой конструкции должен совпадать с имеющимся верхним краем стены, поэтому следует отрегулировать высоту стоек до приемлемого уровня.
- Расположение и точную горизонтальность нужно проверить при помощи строительного нивелира.
В некоторых случаях опалубку для удобства застилают пленкой с гидроизоляционными свойствами или смазывают автомобильным маслом, если она сделана из металла. Делается это, чтобы облегчить снятие опалубки и сделать поверхность получаемой бетонной плиты ровнее. Телескопические арендованные стойки предпочтительнее, чем самодельные деревянные, поскольку они способны выдерживать значительный вес ? до 2 тонн, не ломаются, на них не появляются трещины, как это может произойти с самодельными опорами. Временная аренда подобных стоек обходится примерно в 3 у. е. на один квадрат.
Армирование плиты


Когда металлическая или самодельная опалубка установлена, в ней нужно связать каркас из сеток арматуры. Для этого используются прочные стальные прутья маркировкой А-500С. Размер одной ячейки получившей сетки должен быть около 200 мм. Прутья соединяются при помощи проволоки. Обычно длины прута не хватает на все пространство, поэтому приходится соединять несколько штук. Чтобы сетка была прочной, надо складывать пруты внахлест не менее 40 мм.
Сетка обязательно должна накладываться на стены, норма для кирпичных сооружений ? 150 мм и более, для стен, выполненных из газобетона ? не меньше 250 мм. Между торчащими торцами расставленных стержней и установленной опалубкой должно оставаться расстояние в 25 мм.
Дополнительное усиление будущей плиты последовательно производится с помощью прочного каркаса из арматуры. Сетки делается две, та, что находится внизу, аккуратно располагается на расстоянии 20-25 мм от края снизу, другая сетка, верхняя ? помещается ниже на 20-25 мм от верхнего края плиты.


Под нижнюю плитку кладутся фиксаторы из пластмассы, чтобы удерживать ее на нужном расстоянии. Они располагаются с шагом в 1 метр, в тех точках, где находится пересечение прутьев каркаса.
Общая толщина предварительно рассчитывается в соотношении 1:30, где первая цифра означает толщину будущего изделия, а вторая ? длину пролета. К примеру, если стандартный пролет составляет 6 метров, то ширина плиты будет ровно 200 мм. Так как укрепляющие сетки расположены на некотором расстоянии от краев плиты, то нужно их разделить, между ними должен быть промежуток в 120-130 мм.
Фиксаторы-подставки нужны, чтобы развести выложенные арматурные сетки в каркасе на расстояние друг от друга. Размер верхних полок фиксатора должен составлять 350 мм, при этом вертикальный размер составляет 120 мм, шаг расположения составляет 1 метр, фиксирующие элементы расставляются в шахматном порядке, поочередно.
Торцевой фиксирующий элемент в конструкции устанавливается с постоянным шагом в 400 мм, непосредственно в торцах каркаса. С его помощью плита будет опираться на стену.
Соединитель сеток нужен, чтобы две сетки принимали нагрузку как единое целое армирующее устройство. Шаг при установке должен составлять 400 мм, а переходя в зону опирания, нужно сократить его до 200 мм.
Заливка плиты


Оптимальный вариант ? приобретать подходящий бетон на заводе, у профессиональных компаний, занимающихся изготовлением товаров для строительства. Это во многом облегчает поставленную задачу. Кроме того, если аккуратно заливать бетон равномерно и с миксера, поверхность плиты получится гладкой и очень ровной. А вот заливка вручную потребует неизбежного перерыва на время приготовления новой порции строительного раствора, соответственно, затвердевание пойдет неравномерно, что грозит дефектами готовой плиты. Лучше выполнять заливку ровным слоем, примерно в 200 мм, действуя без промедлений.
Перед тем, как выполнять заливку бетоном, необходимо не забыть установить в опалубку специальные технические короба, предназначенные для создания дымоходов или вентиляции. После заливки нужно использовать специальный глубинный вибратор для бетона. Это сделает структуру плиты более прочной, так она получится надежной и качественной. Затем нужно набраться терпения и оставить залитую поверхность высыхать и набирать прочность в течение периода в 28 дней.
За формирующейся поверхностью нужно тщательно следить в первую неделю после заливки и смачивать ее простой водой, но при этом только увлажнять, а не обильно заливать. Опалубку можно аккуратно снимать с плиты спустя месяц после заливки. После этого новая монолитная плита будет полностью готова.
Общая стоимость материалов и приспособлений, необходимых для получения монолитной плиты перекрытия, как правило, учитывает расходы на усиливающую арматуру, возможную аренду опалубки, покупку бетона и краткосрочную аренду строительного миксера, а также глубинного вибратора. По средним подсчетам получается примерно 45-55 у.е. на один квадрат возведенного перекрытия.
Армирование откосов — это важный этап при ремонте, который обеспечивает долговечность и эстетичность конструкции. Правильное армирование предотвращает растрескивание и деформацию,